摘要 20世紀70年代磁共振成像技術的發明為生物醫學成像開辟了一個極富生命力的領域。隨著技術的進步和生命科學研究的深入,磁共振成像技術正向超高場發展。文章將在介紹磁共振成像技術發展的歷史后,結合作者的認識,簡要介紹超高磁共振成像技術的發展現狀和關鍵技術方面的進展。
關鍵詞 磁共振成像,超高場,超導磁體,梯度
自古以來,人類出于對自身的認識,受疾病的困擾等原因,總是力圖探究人體自身的結構和內在的信息。由于條件的限制,那時只能通過外部手段試圖間接地獲取人體內部的信息,因而創造出傳統醫學中的種種手段,比如中醫的望、聞、問、切等方法。現代科技的發展,使得人們可以通過一些物理的方法獲取人體內部的圖像,從而能夠更精確地診斷疾病,更深入地認識人體自身。比如常用的X光、CT、超聲、磁共振等成像方法,不僅可以獲得人體的內部構造圖像,還可以獲取生命活動過程的影像。
1895 年德國物理學家威廉·倫琴發現X 射線,開創了醫學影像的先河。1978 年,一位名叫G. N. Hounsfield 的工程師公布了計算機斷層攝影的結果。這是繼X射線發現后,放射醫學領域里最重要的突破,也是20 世紀科學技術的重大成就之一。Hounsfield 與Cormack 由于在放射醫學中的劃時代貢獻而獲得了1979 年諾貝爾生理與醫學獎。超聲成像設備的發展得益于在“二戰”中雷達與聲納技術的發展。20 世紀50 年代,簡單的A型超聲診斷儀開始用于臨床。到了70 年代,能提供斷面動態的B型儀器問世。80 年代初問世的超聲彩色血流圖是目前臨床上使用的高檔超聲診斷儀。1945 年美國學者發現了核磁共振現象。70 年代后期人體磁共振成像獲得成功。2003 年,諾貝爾生理或醫學獎授予了對磁共振成像研究作出杰出貢獻的美國科學家Paul C. Lauterbur 和英國科學家Peter Mansfied。
磁共振成像(magnetic resonance imaging,簡稱MRI)通過檢測人體發射出的微弱電磁波,計算出人體內部結構,其設備通常具有如圖1 所示的外觀。

圖1 目前常用的兩類醫用磁共振成像裝置
磁共振成像的基本原理來自于1946 年美國學者Bloch 和Purcell 的發現。在外磁場的作用下,利用人體自身發出的磁共振信號,獲得人體內部的磁共振斷層圖像。
自然界中的任何物質都是由分子或原子組成的,如水分子H—O—H,是由2 個氫原子與1個氧原子組成。氫原子核中只有1 個質子,有著沿自身軸旋轉的固有本性,質子距原子核中心有一定距離。因此質子自旋就相當于正電荷在環形線圈中流動,在其周圍會形成一個小磁場。從經典物理上看,所有含奇數質子的原子核均在其自旋過程中產生自旋磁動量,也稱核磁矩,它具有方向性和力的效應。核磁矩的大小是原子核的固有特性,它決定磁共振信號的敏感性。氫的原子核最簡單,只有單一的質子,故具有最強的磁矩,最易受外來磁場的影響,并且氫質子在人體內分布最廣,含量最高,因此傳統的磁共振成像絕大多數都選用1H為靶原子核。人體內的每一個氫質子可被視作為一個小磁體(圖2)。

圖2 氫原子核的自旋產生磁場
從微觀量子力學上看,原子核的自旋是微觀粒子繞著軸高速旋轉(如地球自轉),其自旋的原因是存在自旋角動量(固有角動量和軌道角動量的矢量和),自旋情況由核的自旋量子數I 來表征:

I=0,ρ=0,沒有自旋,不能產生自旋角動量,不會產生共振信號。只有當I >0 時,才產生共振信號。
當I≠0 時原子核具有自旋角動量,同時電子繞著原子核運動,等效于環電流,因此原子核周圍出現磁場,原子核等效為磁棒。設原子核的磁矩為μN,其方向垂直于環電流方向,與自旋角動量重合,其大小為:

其中,γN是核的旋磁比,與原子核運動無關,h為普朗克常量。
無外磁場時,自旋核的取向是任意的,其產生的磁場也是任意的,宏觀上物質沒有磁性;當處于外磁場時,自旋核的角動量受到外磁場力矩作用而成一定規律排列。在直角坐標系中,取z軸方向與磁場B0同向。那么,原子核的自旋角動量在z 軸上的投影Pz的計算公式如下:

其中m為原子核的磁量子數,共有2I 1 個可取的值,對應于核自旋在空間的2I 1個可取向。
外磁場除了影響自旋角動量外,還影響核磁矩μ。核磁矩在z 軸上的投影計算公式如下:

其中m為原子核的磁量子數。此外,磁場對磁矩的作用會使磁矩具有一定的附加能量。核磁矩的附加能量計算公式如下:

從上面幾個公式可知,核磁矩在磁場中的能量也是量子化的,稱為能級。m為正的能級稱為低能級;m為負的能級稱為高能級。相鄰能級之間的能量差是一個常數:

其大小與外磁場強度B0有關。
無外磁場時的一個能量級,在磁場作用下分裂成了2I 1 個能量級,稱為塞曼能級,這種分裂稱為塞曼分裂。磁共振頻率和原子核本身特性和外磁場強度有關。
磁共振現象從微觀量子力學解釋,是指在一定條件下塞曼能級之間的共振吸收躍遷現象,當處于外磁場作用下的自旋核接受拉莫頻率電磁波輻射,自旋核吸收的能量恰好等于兩個能級能量差時,處于低能級的自旋核會躍遷到高能級處,就稱這個現象為核磁共振現象。躍遷到高能級的原子核,會同時向低能級弛豫,這一過程對外釋放能量,這些能量信號能夠被外部裝置接收,磁共振成像所采集的信號就是這種信號,因此,從本質上講,磁共振成像采集的是成像體自身發出的電磁信號,相比其他電磁成像的物理原理,這是一個具有顯著特色的物理方法。
在靜磁場中,自旋核發生塞曼能級分裂,處在高能級和低能級的原子核數基本相等。在外部射頻場的照射作用下,自旋核可以發生能級躍遷,對于每一個自旋核來說,由下而上和由上而下的躍遷概率相同,但由于低能級上的核數較多,總的來說仍出現凈吸收現象。人體內包含大量的氫質子,在沒有外磁場作用時,這些小磁體磁矩的方向是雜亂無章的,若此時將人體置于一個強大磁場中,這些小磁體的磁矩必須按磁場磁力線的方向重新排列。此時的磁矩有兩種取向:大部分順磁力線排列,它們的位能低,狀態穩;小部分逆磁力線排列,其位能高。兩者的差稱為剩余自旋,由剩余自旋產生的磁化矢量稱為凈磁化矢量,亦稱為平衡態宏觀磁場化矢量M0。在絕對溫度不變的情況下,兩種方向質子的比例取決于外加磁場強度,磁場越高M0越大,圖像的信噪比越高。
在MR的坐標系中,主磁場方向一般稱為Z軸或稱縱軸,垂直于主磁場方向的平面為XY平面或稱水平面,平衡態宏觀磁化矢量為M,每個氫質子除了自旋以外,其自旋軸還將繞著外磁場的方向(Z軸)旋轉,稱其為進動,其旋轉頻率稱為拉莫爾(Larmor)頻率γ,B為主磁場強度。

自從核磁共振現象被發現后,隨著電子技術特別是計算機技術的發展,磁共振成像方法被提出。從1978 年到1982 年,一些有實力、有遠見的醫療器械公司注意到了MRI的巨大潛力,相繼開始了MRI的商品化工作,他們投入了大量的資金,從各個大學網羅了一批專家,競相試制。20世紀80 年代初有幾家公司的MRI樣機試制成功,并開始了臨床試用。1983—1984 年美國儀器與藥物管理局(FDA)批準了4 家公司生產的MRI 機器上市,這標志著核磁共振成像技術的基本成熟和MRI商品階段的開始。1989 年國產0.15 T臨床磁共振成像設備由中國科學院電工研究所、聲學研究所等聯合科健公司開發成功。
談到磁共振成像的發展,不得不從Bloch 和Purcell 說起。珀塞爾(Purcell)1912 年8 月30 日出生于美國依利諾斯州的泰勒威里(Taylorville),1929 年進入普渡大學,1933 年從電機工程系畢業,后來興趣轉向物理。1938 年珀塞爾在哈佛大學取得博士學位。1940 年,他到麻省理工學院輻射實驗室工作,探索新頻帶和發展新微波技術。在靜磁場中核磁矩的能量處于量子化能級,即能量決定于核回旋比和磁量子數。在熱平衡狀態下,粒子按玻爾茲曼定律分布,低能級的粒子數目多于高能級。若粒子在滿足共振條件的射頻電磁場作用下,則處于低能級的粒子吸收射頻場能量而躍遷到高能級;處于高能級的粒子又可把能量交給晶格而回到低能級來。如果樣品的弛豫時間不太長,足以建立新的平衡,保持低能級粒子數多于高能級的,便可觀察到持續的核磁共振信號。珀塞爾把這樣的實驗稱為“核磁共振吸收”。
1945 年12 月24 日,帕塞爾、托雷和龐德聯名寫給《物理評論》編輯部題為“固體中核磁矩共振吸收”的一封信中,首次報告了在凝聚態物質中觀察到的核磁共振現象。被觀測的物質是置于強度為0.71 T磁場中的大約500 g 石蠟,線圈調諧到30 MHz,對磁場的掃描功率保持在10—11 W,在29.8 MHz 處記錄到線寬為40000 Hz 的核磁共振吸收譜線。
布洛赫(Bloch)1905 年10 月23 日出生于瑞士的蘇黎世,進入蘇黎世的聯邦工業大學,后來到德國萊比錫大學繼續研究,并于1928 年獲得博士學位。1934 年到斯坦福大學任教。布洛赫通過射頻接收的一般方法來檢測核磁矩的重新取向,他確信在1 cm3的水中,質子在幾千高斯的磁場中共振時,將會在圍繞的線圈上感應出超過接收機噪聲的射頻電壓,信噪比不小于3。1945 年秋,在一個磁鐵兩極之間,有兩個軸線相互垂直的線圈,一個是發射線圈,另一個是接收線圈,兩線圈的軸線均與主磁場垂直。布洛赫認為,核磁共振的基本事實在于核磁矩取向的改變。當核磁矩在射頻場作用下轉向時,宏觀磁化矢量隨之改變。按照電磁感應定律,這時在接收線圈上便產生一感應電動勢。考慮到射頻場比探測的信號強得多,所以發射線圈和接收線圈之間的耦合必須相當微弱,因此把它們安排成互相垂直的位置。在共振條件下,射頻場使核磁矩轉向,并弱耦合到接收線圈作為載波。發射線圈的端部還安裝兩塊半圓形導電片,以調節漏感的幅值和相位,從而可檢測到吸收信號或發射信號。在第一次觀察到核感應信號的成功實驗中,射頻頻率為7.76 MHz,相應的磁場強度為0.1826 T。
在此基礎上,Bloch 和Purcell 開發了測量固態物質核磁共振的儀器。
Raymond Damadian (State University of New York)用他的NMR設備,驗證了同一組織的不同狀態,或者不同組織的T1弛豫時間的差別,這是磁共振成像的生物特性基礎。1973 年Paul Lauterbur(State University of New York,圖3)描述了采用梯度磁場技術進行的磁共振成像,通過反投影方法獲得二維圖像[1]。

圖3 Paul Lauterbur 教授和世界上第一幅MRI圖像:4.2 mm直徑的試管中裝滿蒸餾水
1977 年7 月8 日,Peter Mansfield 和Andrew A. Maudsley 獲得了手指的斷層圖像,這是世界上第一幅人體圖像(圖4(a))。Peter Mansfield 還獲得了第一幅腹部圖像( 圖4(b))。1977 年Raymond Damadian完成了首臺磁共振成像儀的建造。

圖4 (a)世界上第一幅人體磁共振圖(Peter Mansfield)。他的學生Andrew Maudsley的手指頭;(b)腹部圖像
1974年4月,Richard Ernst注意到Lauterbur 在Raleigh (North Carolina)一次會議上的報告,他認為采用脈沖梯度磁場可以取代Lauterbur的back-projection 成像方法。Richard Ernst 采用脈沖梯度磁場的方法,通過引入相位和頻率編碼,采用傅里葉變換的方法進行二維磁共振成像(圖5),該方法隨后成為磁共振成像的標準方法。

圖5 Richard Ernst和早期的頭部磁共振傅里葉成像
1978 年Raymond Damadian 建立了FONAR公司,在1980 年制造了首臺商業MRI 掃描儀。1982 年Robert N. Muller 獲得第一幅磁化轉移磁共振圖像。1984 年FONAR公司獲得首個磁共振成像設備FDA許可證。1986年Jürgen Hennig 等人發明了RARE(rapid acquisition with relaxation enhancement)成像方法,Axel Haase 等開發了FLASH(fast low angle shot)序列。1982 年Lauterbur 實驗室實現了三維磁共振成像,并在10 年后獲得商業應用。1977 年Mansfield 發展了Echo-planar imaging(EPI),并且與Ian Pykett一起獲取了第一幅EPI 圖像。1965 年Edward O. Stejska 和John E. Tanner(the University of Wisconsin)對擴散成像做了早期的研究。擴散成像(Diffusion magnetic resonance imaging)用于探測水分子的擴散運動,目前已經廣泛用于MR神經系統成像,20世紀90年代實現了腦功能成像。
在磁共振成像裝備的發展方面,以磁場強度為代表,從早期的永磁0.3 T開始,出現過各種磁場強度的MRI 設備,比如永磁的0.2 T、0.3 T、0.5 T 等,超導的0.5 T、1 T、1.5 T、2 T、3 T、4.7 T、7 T、8 T、9.4 T、10.5 T、11.75 T 等,經過多年的發展,超導MRI的磁場強度逐步固定下來,臨床設備的磁場強度有1.5 T、3 T和7 T,這種標準化的發展方便了磁體和射頻供應商的產品開發,這兩個技術的發展也極大地促進了MRI的技術提高。但是,從磁共振成像的歷史看,一個明顯的特征是成像原理和方法的發展遠遠領先于硬件技術的發展。比如EPI 方法早在20 世紀70 年代就由Mansfield 提出,但是實際上得到大規模的應用是在90 年代以后,主要的限制是磁共振成像各種硬件技術的限制。磁共振成像裝備在發展上需要解決眾多技術性的問題。比如,早期的磁共振成像裝置均沒有渦流屏蔽設計,導致梯度在磁體上產生較大的渦流,對一些成像方法有嚴重的干擾,一些永磁MRI 甚至無法有效運行快速自旋回波序列。現在的MRI 裝置早已普遍采用主動屏蔽的梯度技術,使得磁體的動態穩定性得到極大的提高。由于磁體的設計和工藝水平的提高,磁場在成像區內的均勻性達到非常高的水準(比如0.1 ppm),使得EPI 等序列可以順利運行。
磁共振成像經過幾十年的發展,現在已經廣泛用于醫學臨床和科學研究,其發展也遠超當初的水平,磁場強度已經從開始的幾千高斯發展到目前的十萬高斯甚至更高,其應用也早已超出了臨床的范圍,已經成為生命科學研究的重要工具。
迄今為止,所有人類成像的MRI系統的分辨率最高為200 μm,而且設計都以氫質子的磁共振信號為出發點。由于腦科學研究的深入,需要更高分辨率的MRI系統,使得人類成像的分辨率提高到50—100 μm的水平,并且可進行比如代謝水平等的功能性成像。另一方面,23Na 等攜帶豐富代謝信息的非質子核素也可以提供磁共振信號,但由于其信號信噪比很低,當前的MRI設備很難實現對這類核素的磁共振成像。
根據磁共振物理學原理,圖像信噪比和頻譜分辨力隨著磁場強度的增強而增強。想要提高磁共振成像的成像性能,需要進一步提高MRI系統的磁場強度以及提高MRI系統的梯度性能,以達到理想的信噪比,從而滿足超高分辨率成像的需要。越高的場強就會激發越多的自旋原子核參與成像,從而具有更高的靈敏度、分辨率、信噪比、對比度和影像清晰度。
超高場MRI的極高信噪比增益,可以實現高靈敏的X核成像。根據核磁共振原理,除了傳統的1H核外,大量的自旋原子核(X 核)也可以進行磁共振成像,而其中一些是生命新陳代謝過程中至關重要的元素或其同位素,如23Na、13 C、19F、31P等。但是,在生命體中和1H相比,X核豐度有限;因此也只有在極高磁場的磁共振下,更多的X核被激發并參與成像,才能夠獲得高靈敏度和足夠的信噪比,使得高質量X核成像成為現實。例如,60%的腦能量用于細胞膜的鈉鉀轉運,維持細胞內環境的穩定亦具有重要意義,因此極高場磁共振的Na成像可以對于腦的細胞密度和細胞膜代謝高靈敏度分析實現突破。
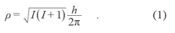
因此,磁共振成像技術目前的發展趨勢,是朝著更高磁場強度發展,以期獲得更高分辨率的圖像,并實現多核成像。圖6 顯示了磁場強度的高低對圖像分辨率的影像,(a)為7 T 磁場下的圖像,(b)為0.35 T磁場下的圖像,二者的圖像分辨率可見一斑。

圖6 T2 加權成像(a)7 T 下的成像,分辨率約0.3 mm;(b)0.35 T下的成像,分辨率約1 mm
由于超高場(7 T以上)磁共振成像得天獨厚的優勢和廣泛應用前景,西方各國學術界、產業界和政府機構均高度重視,成為當前磁共振成像領域的競爭的焦點。7 T 人體磁共振成像系統正在迅猛發展,西門子已推出7 T 臨床產品,目前全球裝機量正在迅猛增長。更為先進的研究型9.4 T人體磁共振成像系統,目前全球已建和在建的也超過了4 臺。另外,國內自行建造的9.4 T人類磁共振成像裝置也進入了總體調試階段,它的建成不僅是國內磁場強度最高的超高場磁共振成像裝置,在亞洲也是首屈一指。
目前國際上在建最高場強人體磁共振成像系統是正在法國研制的、耗資達2億多歐元的11.75 T系統,已經完成了超導磁體的建造工作,正在進行調試,這預示著更高磁場強度的極高場(Extremely High Field,EHF)系統的研制呼之欲出。
2017 年,西門子公司將目前用于臨床的最高磁場強度的7 T 磁共振成像設備推向臨床,相應地,國際電工學會將人體磁場安全限制也放寬到了8 T。
目前已經建成的人類成像的最高磁場強度的裝置是位于明尼蘇達大學的10.5 T,由西門子公司為其建造(圖7)。

圖7 MAGNETOM 10.5 T(2008 年開始建造,2018 年3 月1 月進行人體掃描) (a)磁體;(b)射頻線圈;(c)人體圖像
該裝置的性能參數為:磁體重量110噸,被動屏蔽,室溫孔徑88 cm,磁體長度4.1 m,磁體寬度3.2 m,磁場均勻性<0.07 ppm/25 cm DSV,運行溫度3 K,導線長度433 km(NbTi 線)。該裝置2018 年3 月正式報告進行了人體掃描實驗[2]。
除了人體成像的超高場磁共振成像裝置外,用于動物臨床前應用的裝置在磁場強度上遠遠走在了前面,10 年前就出現了16.4 T/26 cm動物成像MRI 機,德國的Bruker公司在幾年前也推出了更高磁場的動物成像機—— 21 T/11 cm動物成像MRI機(圖8)。

圖8 (a)21 T MRI磁體;(b)大鼠的腦部高分辨率成像(分辨率26 μm)
超高場MRI裝置的核心是超導磁體系統。傳統的MRI超導磁體中的線圈采用NbTi 合金導線繞制[3],在7 T以下的設備上,NbTi 導線有上佳的表現。到了9.4 T 以上,在設計上則需要專門的策略,其臨界電流密度在9.4 T的磁場背景下接近了極限(圖9(a))[4]。對于11.7 T 的MRI磁體,有采用進一步降低導線溫度的方案,使NbTi 導線依然能夠正常運行(圖9(b))。更高的磁場則需要采用Nb3Sn材料。

圖9 (a)臨界電流密度與磁場強度的關系(NdTi、Nb3Sn、HTS);(b)法國能源署11.75 T人體成像MRI磁體
法國CEA的11.75T人體磁共振成像裝置參數為:磁體溫度1.8 K,磁場強度11.75 T, 磁場均勻度0.5 ppm/22 cm DSV,90 cm 室溫孔徑,主動屏蔽。
超導磁體系統的磁場均勻性是核心指標之一,為達到所需要的均勻性指標,磁體在設計建造時,需要幾個階段的設計與工藝制造:(1)設計一個繞組陣列,補償磁場的軸向變化,并且采用多個補償線圈,達到設計的磁場均勻性。同時,磁體通常配置多組的勻場線圈,用于勵磁后的磁場調節;(2)磁體建造完成后,對實際的磁場形態測量; (3) 通過勻場,補償實際磁場的不均勻性。
磁場的均勻性是超導磁體線圈設計的非常重要的方面, 然而,力的設計始終是一個嚴酷的問題。任何磁體線圈的設計,如果力和應力超過某些限制,超導線圈將不可逆轉的損壞。另一個重要的設計準則是電流密度的最大值,它將影響超導磁體的磁場穩定性和使用穩定性。
勻場是超導磁體的磁場精細調整的一個過程,任何MRI 超導磁體建造完成時,其初始的磁場均勻度都達不到使用要求,這個主要是磁體建造時的誤差帶來的。通常,超高場MRI磁體均需要超導勻場線圈,在超導磁體建造時,即將多組的超導勻場線圈繞制在主線圈的外側,調試時分別通過改變每組線圈的電流調節磁場均勻性,完成后將線圈閉環。
被動勻場常常在超導磁體的勻場中被采用[5]。被動勻場時通過在磁體內壁或者梯度線圈內部設置的若干個抽屜中放置導磁的材料實現的,該材料被飽和極化后,其磁場引起超導線圈所產生的磁場的變化,通過在適當位置放置適當的導磁材料,可以補償磁場的不均勻,并且具有很高的效率。圖10(a)為CAS的9.4 T MRI系統所使用的梯度線圈,在其中設置有36個抽屜,可進行高階的勻場。

圖10 (a)制作完成的9.4 T梯度線圈;(b)繞制中的勻場線圈
在超高場MRI中,采用被動勻場可能會帶來其他的問題,比如溫度引起的磁場漂移和均勻性的變化,因此,需要仔細選擇勻場材料,并且盡量減少勻場材料的使用。
室溫勻場(RT shim)對于超高場磁體系統的磁場調整是必不可少的,它是對在磁體溫孔內設置的若干組銅線圈施加電流,其產生的磁場補償磁體磁場的不均勻性。一般地,室溫勻場由多組線圈構成,比如CAS的9.4 T 系統就采用了14 組室溫勻場線圈(圖10(b)),其參數如表1所示。

表1 CAS 9.4 T勻場線圈參數
超高場MRI 的梯度系統面臨一些新的問題。梯度系統的性能主要由2 項指標來表征:磁場梯度的最大強度(Gmax)和切換率。目前,商用的梯度Gmax 一般可以達到60 mT/m, 最大切換率200 T/m/s。對于梯度線圈的設計一般還是采用逆向方法進行[6,7],并通過正向的優化得到最終的線圈結構[8,9]。圖11為CAS 9.4 T系統所采用的一種梯度線圈,其最大梯度強度Gmax 可達到80 mT/m,切換率達到400 T/m/s,由于采用非對稱設計,PNS得到有效的減小。

圖11 9.4 T非對稱內插梯度線圈
在超高場MRI中,梯度系統的運行噪聲將高于普通的設備,其噪聲的主要來源是梯度線圈內施加脈沖電流后,繞組在主磁場下洛倫茲力的作用產生的。1.5 T的設備最大的噪聲可達到120 dB[10],而對于11.7 T 的設備,最大的噪聲接近140 dB,必須對受試者加以聽力保護。雖然有些靜音的措施,比如采用隔音材料[11],甚至修改序列和梯度脈沖的波形等,但是對于專門的成像掃描,噪聲依然是一個嚴重的問題。
梯度線圈的振動對于超高場MRI也是需要注意的問題。繞組的受力與電流和磁場均成正比(式8)。

超高場MRI 的梯度電流通常可以達到700 A以上,對于一個繞組長度幾百米的線圈,繞組承受的總的電磁力可超過200 噸,這些力均作用在線圈的結構上。由于超高場MRI的磁體通常都比較長,在梯度線圈放置的空間內其磁場基本上為一個均勻的磁場,梯度線圈都是對稱結構,因此總的力與力矩都是平衡的。但是線圈的振動是不可避免,特別是在接近線圈的共振頻率時,小的電流即可引起線圈的振動(圖12)[12],因此梯度線圈需要有堅實的骨架支撐,線圈總重量可超過2噸[13]。

圖12 梯度線圈的振動模擬計算
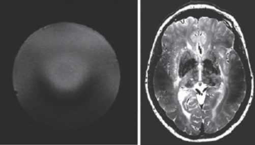
超高場MRI的射頻場設計也是一個較為困難的問題。由于射頻頻率超過了300 MHz,介電常數引起的問題非常突出。圖13 是一個在7 T 下的成像結果,可以看到在圖像內部的信號非常不均勻,由于射頻波長的極度縮短,組織的介電常數對射頻場的分布有極大的影響,這也是目前超高場MRI 需要解決的重要問題之一。目前的9.4 T以上的MRI設備還難以獲得人體體部掃描的良好圖像,其主要應用還是做頭部的掃描。

圖13 超高場下的射頻場不均勻性
SAR值升高是射頻場另一個問題,隨著射頻頻率的提高,組織對射頻能量的吸收急劇上升,可導致組織局部的溫度升高。SAR值的計算可由式9表示。

σ為組織電導率,ρ為組織密度。對于SAR值各國和國際組織均有嚴格的限制,因為過量的射頻能量的吸收可能會對受試者造成危害。
圖14 是一個SAR值對大腦溫度升高的一個仿真結果[14],對于平均SAR=3 W/kg的頭部掃描,7 T(右側)下的溫度升高顯著高于3 T(左側)。因此在超高MRI中均需要配置一個可靠的SAR值監控裝置。

圖14 局部SAR值的仿真結果
為了形成一個較為均勻的射頻場,超高場MRI一般都采用多通道的激勵線圈,通過調整每個線圈的相位,實現均勻的激發。
國內在高場磁共振成像設備開發方面較晚,1.5 T 臨床MRI 產品大約在2009 年前后才完成產品開發,目前國內開發的最高磁場強度的臨床MRI 產品是3 T,在國家科技計劃的支持下,有企業正在開發3.2 T 和5 T 的臨床MRI 產品。因此,國內目前在超高場MRI的成果主要體現在應用方面,為科研的需要,國內各研究機構采購了大量的超高場磁共振成像設備,這其中又分為兩類:一類是用于動植物成像的設備,磁場強度普遍較高,主要有7 T、9.4 T和11.75 T三種磁場強度;另一類是人類成像設備,目前只有7 T 人類全身磁共振成像裝置。
對于超高場MRI技術和設備的研發,國內一些機構在做嘗試。筆者所在團隊與國內相關研究機構和企業協作,曾經在2016 年開發了國內首臺自主研發的7 T 磁共振動植物成像系統,采用自行研制的7 T 超導磁體、梯度線圈、譜儀控制臺等核心部件,成功完成系統的建造和測試,所獲得的測試圖像分辨率達到150 μm(圖15)。

圖15 (a)7 T/210 MRI 原型系統;(b)梯度線圈(600 mT/m/300 A);(c)測試圖像(FLASH序列,分辨率150 μm)
目前正在中國科學院生物物理研究所調試的9.4 T人類全身磁共振成像裝置,是采用自主研發的核心部件研制的國內最高水平的磁共振成像裝置,現已完成了系統的整合,并獲取了模體的圖像,近期將完成系統調試(圖16)。該裝置的性能參數為:磁體運行溫度4.2 K,80 cm 室溫孔徑,磁場均勻度0.05 ppm/22 cm,被動屏蔽。

圖16 9.4 T人類全身磁共振成像裝置(CAS)
隨著應用需求的提高,超高場MRI有向更高磁場強度發展的趨勢,2016 年開始,國內外學術界陸續提出了建造14 T甚至20 T人類成像裝置的可能性。從技術上看,因為小孔徑的動物成像裝置已經做到了21 T,因此采用混合磁體方案是有可能達到14 T 以上中等孔徑的極高磁場強度的,實現人類的腦部成像。這種MRI裝置的出現,可將人類探索生命過程的影像技術提升到亞微米時代,并且由于X核成像的實現,能夠獲得前所未有的生命活動的信息。
磁共振成像技術是人類了不起的一項技術發明,不僅為人們提供了一種安全有效的臨床醫學診斷工具,而且為人類認識自己開辟了一種可視化的研究途徑。作為一種強有力的研究方法,超高場磁共振成像將向更高的磁場強度發展,從而獲得更為精細的圖像。現有的磁共振動物成像的磁場強度為21 T,但是目前可穩態運行磁體的最高磁場強度已經超過27 T,這就為更強大的磁共振成像裝置的建設提供的基礎,未來可能出現磁場強度超過25 T,甚至達到30 T的極高場磁共振成像裝置,這就可以為科學研究提供一種活體觀察細胞尺度生命活動的顯微成像方法,通過4D電影成像,動態觀察研究生命活動過程,正是應用的需求和技術的進步推動超高場磁共振成像的發展。